网站首页
:
走进上清
:
大众彩票入口welcome简介
资质荣誉
CCCF证书
设备力量
产品中心
:
新闻中心
:
行业应用
:
工程案例
合作伙伴
服务中心
:
服务承诺
风机技术
联系我们
1
2
3
+ 城市地下配套管廊风机
轴流式消防排烟风机(防爆型)
离心式消防排烟风机(防爆型)
防爆轴流风机(送风)
HTF轴流式消防排烟风机
RTC离心式消防排烟风机
SWF轴流风机(送风)
YDF诱导射流风机
+ 消防排烟系列风机
HTF轴流式消防排烟风机
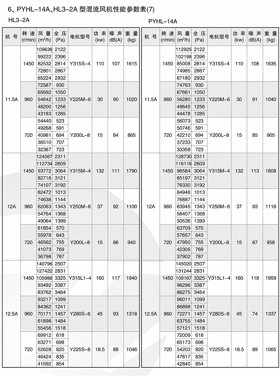
PYHL-14A轴流式消防排烟风机
HTFC(DT)型柜式离心风机(离心式消防排烟风机)
HTFC-V型柜式离心风机
+ 管道送排风系列风机
SWF型混流风机
HL3-2A型混流风机
GXF型斜流风机
HLF-6型低噪声节能型混流式风机箱
BF型风机箱
+ 轴流风机系列
DWEX (WEX)型边墙风机
XBZD型壁式轴流风机
T35-11型轴流风机
DZ型轴流风机
SZF型轴流风机
JGF系列节能岗位风机
+ 屋顶通风系列风机
DWT-I 型轴流式屋顶风机
DWT-II 型离心式屋顶风机
DWT-III 型离心式屋顶风机
RTC 新型屋顶风机(铝制)
DWT-IV型无电机涡轮排风机
+ 离心风机系列
T4-72、4-79系列离心风机
9-19、9-26系列高压离心风机
ISQ 型无蜗壳离心风机
+ 低噪声管道风机系列
CDF 型圆形管道风机
DDF 型分体式管道风机
GDF 型离心式管道风机
KFV 型静音管道风机
PDF-II 型箱型管道风机
+ 通风换气扇系列
APB 型侧壁式通风换气扇
BLD 型吸顶式房间通风器
BPT 型天花板管道换气扇
+ 空调离心风机系列
KDF 型列后弯式空调风机
KKF 型前倾式空调风机
SFZ 型空调室外机组用冷却风机
+ CF 系列厨房排烟管道风机
CF 型厨房排烟管道风机
+ SDS 系列隧道射流风机
SDS 型隧道射流风机
+ YDF 系列诱导风机
YDF 型诱导风机
+ 电动脚踏(手摇)两用人防风机
电动脚踏(手摇)两用人防风机
+ 防火阀、排烟阀、消声器
防火阀、排烟阀、消声器
产品详情
/ Product details
您现在的位置:
网站首页
>
产品中心
> 产品详情
PYHL-14A轴流式消防排烟风机
Copyright © 浙江上清风机有限公司版权所有
浙ICP备12004551号-1
浙公网安备 33060402000792号
技术支持:绍兴网络公司
点击关闭
客服经理A:
客服经理B:
客服经理C: